为什么任何数的零次方都等于一

为什么任何数的零次方都等于一

余文墨 2025-10-10 科技 4 次浏览 0个评论

在数学中,任何数的零次方都等于1,这包括a的0次方这个规则是被广泛接受和认可的,因为它可以在许多数学问题中方便地使用,包括指数函数排列组合二项式定理等一种解释是,我们可以将指数看作是表示一个数被乘以自身的次数例如,2的3次方表示2乘以自己3次,即2 × 2 × 2 = 8因此,2。

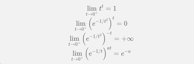
首先,不是所有数的零次方都等于1因为,零的零次方无意义虽然非零数的零次方等于1是定义的不需要证明,但是也可以简单推导一下不太严密供参考,请笑纳。

为什么任何数的零次方都等于一

在数学的幂运算中,有一个基本的性质是任何数的零次方都等于1,这并非偶然这个结论可以通过简单的代数变换来理解当我们有a的0次方,可以把它写作a的nn次方,这里n可以是任意实数,但为了保持a不为0因为0的0次方是没有定义的,我们排除掉a=0的情况进一步分解,a的nn次方可以写成。

因此,不论什么数乘以自己的零次幂都相当于一次没有进行的乘法运算结果为单位数没有进行的乘法运算的结果是单位数,即数值为1这样的定义符合数学逻辑的严密性和连贯性约定俗成的规则数学中规定任何数的零次方都是等于一,这不仅是一种约定俗成的规则,同时也是数学计算中的一个基本常识但需。

在数学运算中,一个重要的规则是,除了0以外,任何数的零次方都等于1这个结论源于幂运算的基本性质,特别是同底数幂的乘除法法则当我们将一个数的幂次相除时,如果底数相同,指数的差决定了结果例如,5的四次方除以5的二次方,按照规则,结果是5的42次方,即5的二次方,也就是1同样。

为什么任何数的零次方都等于一

数的零次方等于10除外是基于数学定义和运算规则得出的结论以下是详细解释一数学定义 在数学中,0次方是让多项式的常数项视为零次项,并规定任何除0以外的数的0次方都等于1这一规定是为了保持数学运算的一致性和简便性例如,3的0次方1的0次方都等于1二运算规则 任何数的0。

任何非零数的0次方都等于1次方是数学中的一个基本概念,表示一个数被自己乘了多少次,18的1次方就是18,而18的2次方是324,根据数学的性质,任何非零数的0次方都等于1,可以得出18的0次方等于1求n个相同因数乘积的运算,叫做乘方,也叫作次方乘幂,乘方的结果叫做幂,其中,a叫做底数,n叫做指数,当a。

9的0次方等于一,是因为在数学中,除零以外,任何数的零次方都定义为等于一以下是对这一结论的详细解释1 数学定义在数学中,对于任何非零实数a,a的0次方记作a^0被定义为等于1这一规定是基于数学运算的一致性和连续性2 解释原因从指数运算的角度来看,a的0次方可以看作是a的。

规定的0次方是让多项式的常数项是零次项任何除0以外的数的0次方都是1如3的0次方是1,1的0次方也是1,0的0次方没有意义注1#8304=1,但是1#8304=1前者是对1求零次方再加上负号,后者是对整个1求零次方0的0次方是悬而未决的,在某些领域定义为1某些领域不。

转载请注明来自极限财经,本文标题:《为什么任何数的零次方都等于一》

每一天,每一秒,你所做的决定都会改变你的人生!

发表评论

快捷回复:

评论列表 (暂无评论,4人围观)参与讨论

还没有评论,来说两句吧...