说到级数,大家最清楚的应该是级数的收敛与发散,还有就是级数的概念,但是级数的具体理解,你真的学会了吗?下面我们就来一起看一下级数的知识点。
第一:级数的概念
对于级数来说,实际上级数是和数列有一定联系的,数列一般情况研究的是前n项和,这这里级数也可类似进行研究。但是数项级数是推广到了无穷项

注意:我们在研究收敛与发散时,一般情况指的是某一个数列前n项和是否存在极限值,存在极限值则收敛,不存在则发散
第二:数项级数的性质
性质一讲的是两个数列的前n项和中,其中一个数列乘以一个不为零的常数,此时得到敛散性是相同的。
性质二讲的是若存在两个数列的前n项和收敛,那么这两个数列的和或者差的前n项和等于这两个数列前n项和的和与差必收敛,若其中一个发散,那么这两个数列的和或者差的前n项和就发散。若两个都发散,则无法判断。
性质四讲的是若级数收敛,那么在这个级数的某几项加括号,不会改变其敛散性。
性质五是需要大家记住的,这是级数收敛的必要条件,讲的是当一个级数收敛时,对应的数列极限必等于零。根据该性质,可得到逆否命题也成立。

第三:正项级数的概念及其收敛的充要条件
这里要注意的是,正项级数指的是级数对应的数列必须≥零

第四:正项级数的敛散性判别法
这里主要用到比较判别法,该判别法有些像我们高中时学过的放缩法,大家可以类似记忆。

第五:比较判别法的极限形式
该方法主要是求极限,但是要满足两数列作比值,对该比值进行求极限得到一个数,若这个数大于零,那么有相同的敛散性,如果该数为零,那么分母收敛就得到分子收敛,如果该数为无穷大,分母发散,那么分子就发散,此时可以得到P级数和几何级数的表达。

第六:比值审敛法
该方法主要是对数列前n+1项和数列前n项作比值。然后求极限,再根据得到的值大小进行分析敛散性。

第七:根值审敛法
根值审敛法主要是对n次根号适合运用,若不存在数列是n项形式,可以换算成该形式在进行计算。

第八:交错级数及其审敛法
该方法主要用到了莱布尼茨定理,在运用时一定要注意所满足的条件,既数列前n项要>数列前n+1项,数列的极限要等于零

第九:任意项级数
任意项级数主要涉及绝对收敛与条件收敛的判断,数列每一项都是正数,然后进行求和,如果收敛,那么就绝对收敛,反之则是条件收敛。

第十:幂级数
幂级数主要掌握的是收敛半径,收敛区间,收敛域的求法。其次就是展开式的求法。

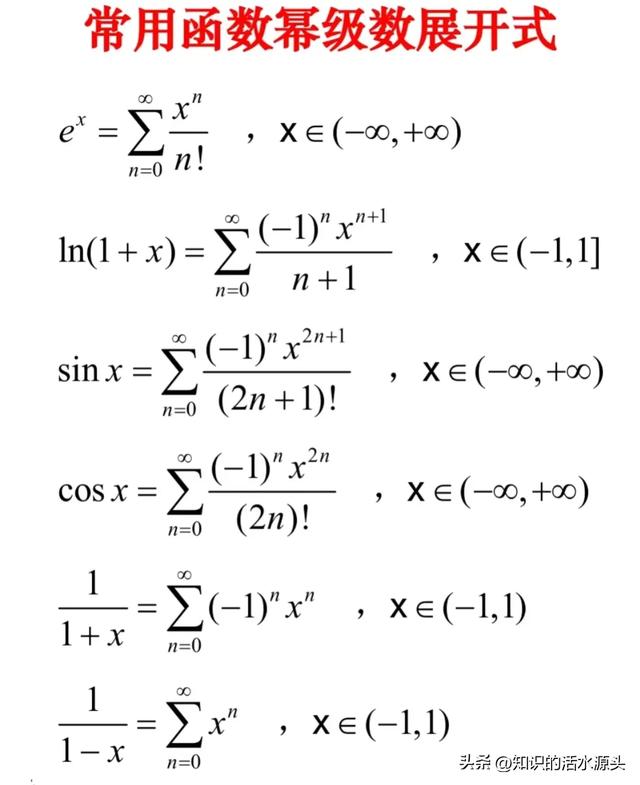
下面是一些常见的函数展开式,大家可以保存下来看一下。

今天的级数知识点就分享到这里,有知识性问题不懂的可以留言,下次更新时重点留意。
转载请注明来自极限财经,本文标题:《级数收敛的必要条件有哪些(大学数学级数你真会明白这些知识)》
还没有评论,来说两句吧...